감정사 기출문제 다운로드
http://www.q-net.or.kr/cst004.do?id=cst00401&gSite=L&gId=64
코퍼댐(Cofferdam): 기름, 물, 가스 등이 한쪽 구획으로부터 다른 쪽 구획으로 직접 침입하는 것을 방지하기 위해 격벽 사이에 설치하는 완충 공간


중심거더(center girder), 측면거더(side girder), 늑판(floor), 내저판(inner bottom)





선창 구조
![]() |
1. Vertical sparring 2. Rubbing piece 3. Sparring sleeper 4. Shell plate 5. Side frame 6. Horizontal sparring 7. Vertical sparring cleat 8. Horizontal sparring cleat 9. Bottom ceiling 10 . Bilge ceiling 11 . Limber board 12 . Filling board . 13 . Manhole 14 . Manhole coaming 15 . Manhole steel cover 16 . Ceiling sleeper 17 . Inner bottom plate 18 . Quarter piller 19 . Fixed vertical sparring 20 . Detachable sparring 21 . Socket 22. Steel door 23. Steel wall |
side sparring – 고정 더니지
- Dunnage: 화물을 선박에 적부 할 때에, 그 손상을 방지하기 위하여 사용되는 판재, 각재 및 Mat 등.
Mat: 볏짚이나 밀짚으로 만든 돗자리 또는 거적(Straw mat) Ampera 풀로 만든 Ampra mat 등이 있다.
tarpaulin: 타포린 방수포![]() |
shifting board![]() |
산적화물선 top side tank(Tanks configuration of a typical bulk carrier)

산적화물은 항해중 화물 이동의 위험을 최소화하고 적정 복원성을 확보하기 위하여 화물창의 가장자리까지 선적하고 가능한 한 평평하도록 트리밍을 하여야 한다.
CARGO SLING: 하역시에 화물을 싸거나 묶어서 카고훅에 달아 매는 용구
1. 하중에 대한 충분한 강도
2. 화물에 손상을 주지 않을것
3. 화물을 싸매기가 쉽고 화물을 떨어트리지 않아야 할것
로프슬링, 와이어슬링, 체인슬링, 웹슬링(web sling), 라운드슬링, 네트슬링
![]() |
![]() |
![]() |
![]() |
![]() |
![]() |
훅(Hook)에 사용되는 재료의 안전율은 5이상으로 한다.
와이어로프 표시 : 6 x 24 – 6개의 가닥(strand), 24개의 소선(wire)

안전작업하중(SWL, safety working load): 최대하중/안전율
* 최대하중: 장비가 파괴되는 하중
절단하중이 30톤, 안전계수 5인 와이어로프 안전작업하중 = 30/5 = 6
작업하중제한(WLL, Weighting Load Limit)
SWL 8T "U" 3T 20M
안전작업하중은 8톤
하역장치의 하중시험
제한하중 10톤 이하: 하중시험 제한각도 15도
제한하중 10톤 이상: 하중시험 제한각도 25도 앙각으로 실시

수평인입식 크레인(LLC, Level luffing crane): 부두의 에이프런 상에 설치된 레일 위를 주행하고 크레인 상부가 선회를 하며 붐의 끝단에 설치된 플라이 붐(fly boom)이 붐을 세우거나 눕힘에 따라 호이스트 와이어로프의 길이가 조절되면서 화물을 수평으로 움직이게 한다.
천장크레인 BTC(Bridge Traveling Crane, Overhead crane)
S/R(Stacker/Reclaimer)
갠트리크레인(Gantry crane, STS(structure of ship to shore crane)) 컨테이너 전용 부두의 에이프런 상에 설치된 레일 위를 이동하면서 하역하는 장비
타워크레인(tower crane)





리치스택커(reach stacker): 부두 또는 야드에서 컨테이너를 직접 운반하여 적재하거나 반출하는데 사용되는 장비
스트래들 캐리어(Straddle Carrier): 컨테이너를 사이에 끼우고 운반하는 하역장비
엠티/톱 핸들러(Empty/Top Handler): 공 컨테이너를 이동시키기 위한 장비
트랜스퍼 크레인 (Transfer Crane)




표준컨테이너(Standard Container): 일반화물 수송
보냉컨테이너(Refrigerated Container): 주로 신선도 유지가 필요한 야채 과일 등의 수송
냉동컨테이너(Reefer Container): 주로 생선 육류 등의 냉동식품의 수송
탱크컨테이너(Tank Container): 주로 화학약품 등 액체화물의 수송
플랫랙컨테이너(Flat Rack Container): 벽체 등이 없어서 기계 자동차 등의 수송
오픈탑컨테이너(Open Top Container): 특수 방수천으로 지붕을 개폐할 수 있어 장척 화물의 적입을 용이하게 만든 컨테이너
통풍식컨테이너(Ventilated Container): 과일 야채 등의 수송
팬컨테이너(Pen Container): 동물 등의 수송
산물컨테이너(Bulk Container): 주로 곡물 등의 포장되지 않은 상태의 화물 수송
생피용컨테이너(Hide Container): 동물 등의 가죽 수송
의류전용컨테이너(garment container): 의류를 옷걸이채로 넣어서 운반할 수 있도록 만든 것.
Vg: Grain capacity(광석, 곡물 등 을 선창내에 Bulk 로 적재할 때의 선창 용적)
Vb: Bale capacity(Bale 등 포장된 화물 적재 용적, Grain capacity의 90~93 %)
Vc: 화물이 차지하는 선창용적

broken space ratio: 무포장 목재 > 포장 균일 화물 > 산적화물
적화계수(S.F): 화물1톤이 차지하는 체적을 ft3 단위로 표시한 것

1피트 = 12인치, 피트 = 인치값/12
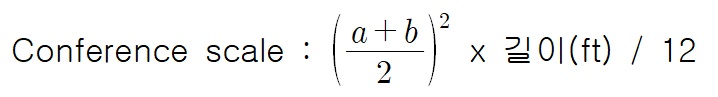
각재 보드피트(board feet) 계산: 가로(in) x 세로(in) x 길이(ft) / 12
통나무 보드피트

a/b: 껍질을 포함하지 않는 상부/하부직경(inch)
Conference scale 1000 ≒ Brereton scale 785
1000 : 785 = x : 1570

적양하 하는 CARGO OIL 의 체적을 정하는 표준온도 : 60F
담수(fresh water) 기수(brackish water) 해수(sea water)
국제만재흘수선 규정 4대 구역
Tropical Zone / Seasonal Tropical Area / Summer Zone / Winter Seasonal Zone
열대대역: 연간기상이 풍력계급 8(34노트) 이상의 바람이 부는 비율이 1% 이상인 수역
계절열대구역: 하기대역과 열대대역의 중간의 기상을 갖는 구역,
1년중 특정기간에 열대 또는 하기의 기상상태가 현저히 구분되는 해역
하기대역: 연간기상이 풍력계급 8(34노트) 이상의 바람이 부는 비율이 10% 이하인 수역
계절동기대역: 1년 중의 특정기간을 동기, 또는 하기로 구분하여 놓은 대역,
동기와 하기 간에 기상상태가 현저히 구분되는 수역
연간기상이 풍력계급 8(34노트) 이상의 바람이 부는 비율이 10% 이상인 수역
![]() |
![]() |
열대 담수 만재흘수선 하기 담수 만재흘수선 – 물 비중 1.000 열대 만재흘수선 하기 만재흘수선 동기 만재흘수선 동기 북대서양 만재흘수선 |
- 선박의 용적톤수
총톤수(Gross Tonnage, G/T): 선박의 밀폐된 내부 총용적
순톤수(Net Tonnage, N/T): 순수하게 여객, 화물수송에 사용되는 공간의 용적
표준선환산톤수(Compensated Gross Tonnage): 선종에 따른 환산계수 사용 표준화물선으로 환산한 톤수.
운하톤수(Canal Tonnage): 운하에서 정한 총톤수
- 선박의 중량톤수
배수톤수(Displacement Tonnage): 선체의 수면 하 부분의 용적과 같은 물의 중량
경하배수량(Light Weight Tonnage): 배 자체의 무게
만재배수량(Full Load Displacement): 최대 적재 상태의 무게
재화중량톤수(Dead Weight Tonnage): 화물/선원/선용품 무게 포함 적재 최대중량
만재배수량(만재시의 배수량) - 경하중량(공선시의 배수량)
순재화중량톤수(Net Dead Weight Tonnage): 화물의 무게만
불명중량(Unknown Constant)

M: Metacenter(경심) 부력의 작용선과 배의 중심선과의 교점
G: Center of Gravity(무게 중심)
B: center of Buoyancy(부심)
K: Keel(Base Line)
GM = KM - KG
복원력: 선박이 기울어졌을 때 다시 돌아오려는 힘의 모멘트
복원성 범위: 선박이 기울어질수 있는 각도의 범위
최대 복원각: 선박의 갑판이 물에 잠기지 않고 기울어 질수 있는 최대각도(경사각)
건현의 상승: 최대복원각, 복원성 범위 상승

M: transverse metacenter(경심) 횡경사시의 메타센터
GM: transverse metacenter height(횡메타센터 높이) G로부터 횡메타센터 까지 높이
초기 복원력: 경사각이 약 10 ~ 15도 보다 작을 경우 메타센터 M은 일정한 위치에 있다.
이런 경사상태에서의 복원력 = W(배수량) x GZ
GZ = GM x sinθ
초기 복원력 = W(배수량) x GM(단위 m) x sinθ
θ = 8°, sinθ = 0.1392, W = 30000, GM = 70Cm
초기 복원력 = 30000 x 0.7 x 0.1392 = 2,923.2
GM: 화물/평형수 변화에 따라 달라진다. - 배수량등곡선도의 정보를 바탕으로 계산 도출
* KM은 배수량 등곡선도에서 구함, KG: 기선에서 선박무게중심까지 높이-계산
GM 구하기
경사시험


횡요주기 T이용

배수량 등곡선도
- 배수량(Displacement)
- 부심(Center of buoyancy, B): 부력의 중심, 수면하의 선체 용적의 기하학적 중심
- 경심(Metacenter, M): 부력의 작용선과 배의 중심선과의 교점
- 횡메타센터(transverse metacenter): 횡경사시의 메타센터
- KM: 기선으로부터 횡메타센터까지의 연직높이
+ TKM(Transverse metacenter above base line)
+ LKM(Longitudinal metacenter above base line)
- LCB(Longitudinal center of buoyancy) : 선체중앙으로부터 부심까지의 수평길이
- VCB(Vertical center of buoyancy): 부심의 높이방향위치
- KB(from keel to center of buoyancy) : 기선으로부터 부심까지의 연직높이
- LCF(Longitudinal center of floatation) : 선체중앙으로부터 부면심까지의 수평길이
- 센티미터당 배수톤수::매 cm 배수톤수 ( tons per 1cm immersion; Tcm. TPC)
: 선박의 평균홀수를 1cm 부상 혹은 침하시키는데 필요한 중량톤수.
+ 이 값은 수선면적에 비례(면적이 클수록 필요중량 상승)하고 흘수에 따라 변함,
+ 배수량등곡선도, 적하척도(deadweight scale)에서 구한다.
* TPC 를 알면 소량의 화물을 적양하 할때의 평균홀수의 감소, 또는 증가량을 구할 수 있다.


배수량 20000톤 비중 1.025 -> 비중 1.0098 도착 흘수 변화량(TPC = 20ton)
1.025 물체적: 20000 x 1.025 = 20500m3
1.0098 물체적: 20000 x 1.0098 = 20196m3
체적 변화량 20500 – 20196 = 304m3
흘수 변화: 304/(20 x 1.0098) = 15.025cm
- 매cm 트림 모멘트 (moment to change trim 1cm ; MTC. Mcm)
: 1CM 의 트림을 일으키게 하는 선체의 세로방향 경사모멘트.
* 이 값은 홀수에 따라 변하는데 배수량등곡선도, 적하척도 에서 구할수 있다.

선내중량물의 가로방향(종방향) 이동에 의한 홀수 변화(트림변화)
선수탱크 100톤 배출, 선수흘수 변화량 (부면심 선박중심, 거리 50m, MTC 50, TPC 10)
트림 변화량 = 100 x 50 / 50 = 100cm (선박 전체 길이 기준 - 선수/선미)
부면심이 중앙이므로 트림에 의한 선수흘수 변화 100/2(선체중앙) = 50cm 상승
해수 배출에 따른 평균흘수 증가량 100/TPC = 10cm 상승
쿼터 평균 흘수(Quarter Mean Draft)
선수 좌현: 5.2m 우현: 5.6m
선수 좌현: 5.8m 우현: 6.1m
선수 좌현: 6.1m 우현: 6.4m
선수: 우현+(좌현-우현 흘수차/2) = 5.4m
중앙: 우현+(좌현-우현 흘수차/2) = 5.95
선미: 우현+(좌현-우현 흘수차/2) = 6.25

트림 = 선미 - 선수흘수 = 0.85(+: by stern, -: by head)
평균흘수 - 중앙흘수 = -0.098(+:hogging, -:sagging)


Deadweight scale 표에서 흘수 5.91을 읽어 MTI, Deadweight, TPI, Displacement
선용품+선원 500톤, 연료유 1000톤
화물 중량 = Deadweight - 1500
복원력곡선도: 최대 복원정, 복원력 소실각, 최대 복원각

LO-LO(Lift-On Lift-Of) 컨테이너선
RO-RO(Roll-On Roll-Of) 자동차 전용선, 카페리선
소형선박: 선박길이 12미터 미만의 선박
한국선급 KR(Korean Register of Shipping)
영국선급협회 LR(Lloyd's Register)
이탈리아선급협회 RINA(Registro Italiano Navale)
프랑스선급협회 BV(BUREAU VERITAS)
중국 선급 협회 CCS(China Classification Society)
의장법: 구성 장비 배치법
의장수: 구성 장비의 개수
선박 설비 규정: 선박에 비치되는 닻, 닻줄, 색류 등의 치수 및 수량 규정(의장수)
의장수 산정방법: 선박 설비 규정(정부) / IACS의 통일적 산출식(선급협회)
- Anchor : Anchor 의 수, 종류
- Anchor Chain : 길이, 지름 (제1, 2, 3 종)
- Tow Line : 길이, 절단하중, Wire Rope 의 Stand를 구성하는 소선의 수.
- Mooring Rope: 수, 길이, 절단하중, Wire Rope를 사용하는 경우 Stand 의 수.
의장수 = L(B+D)+C (L: 선체길이, B: 선폭, D: 깊이, C: 상부 구조물 크기에 따른 상수)
의장수는 선형, 선종, 또는 선급에 따라서 좌우 되는 것이 아니다.
Hallen방식: 선상크레인의 결점을 보완한 가이리스 방식으로 양현의 180°정도가 하역범위이고 마스트의 정부는 전후 및 좌우에 돌출한 크로스 트리의 1개 구조로 되어 있다.

하중(W)을 가속도 a(m/sec2)로 감아올려서 정속도에 달하기 까지의 하중 증가량 f

속력이 일정해져서 가속도가 없으면 a = 0, F = W
초속 V1(m/sec), 종속 V2(m/sec), 초속에서 종속까지 걸린시간 t, 그사이 이동거리 D

30톤의 화물을 0.9 m/sec의 속력으로 올리다가 1.5 m의 거리에서 정지하였을 경우 걸리는 하중

30톤의 화물을 5 m/min의 속력으로 올리다가 0.3초 사이에 32 m/min로 증속 시 하중
5 m/min = 0.08m/sec
32 m/min = 0.53m/sec

선박저항
마찰저항: 물의 점성 때문에 생기는 저항
조파저항: 발산파(Divergent Wave)와 가로파(횡파, Transverse Wave)가 만드는 저항
![]() |
![]() 파저(wave trough), 파정(wave crest) |
조와저항(와저항): 선미부근에 발생하는 와류에 의한 저항
공기저항: 수면 상부 구조물에 의한 저항
컨테이너 표준규격(Container Standards)
1A: 40ft, 1B: 30ft, 1C: 20ft
컨테이너 슬롯(slot) 넘버: 컨테이너 야드에서 사용하는 컨테이너 블록 단위 위치 표시
컨테이너 선박 적재 표시
Bay No.-Row No.-Tier No.로 구분된 6자리의 Cell No.로서 표시
- Bay: 선수부터 시작 20ft는 홀수(1-3-5-7) 40ft는 짝수(2-6-10-14)
- Row: 중앙을 기준으로 좌현 짝수 우현 홀수 10-8-6-4-2|중앙|1-3-5-7-9
- Tier: 갑판을 기준으로 갑판아래 홀드는 14-12-10-8-6-4-2
갑판적 화물은 82-84-86-88-90-92.....
06-04-82일 경우 선수부 40ft 컨테이너가 좌현에 갑판적 되어 있다.
해상보험 종류
1. 적하보험
2. 선박보험(Hull & Machinery Insurance)
3. 배상책임보험(Liability Insurance):
충돌배상책임보험(Collision Liability Insurance), 선주책임상호보험(P&I Insurance)
4. 운임보험(fright insurance)
선박보험의 종류
- 보험기간에 의한 분류
기간보험: 일정한 기간을 표준으로 보험자의 책임이 정해지는 보험
항해보험: 보험의 목적물을 어느 한 지점에서 다른 1개의 지점이나 수개의 지점까지 부보하는 보험계약
- 피보험이익에 의한 분류
1. 선체보험(Hull and Machinery Insurance)
2. 계선보험: 항구나 안전해역에서 휴항하는 경우 가입
3. 초과책임보험(Excess Liabilities Insurance)
4. 선박건조보험
5. 전쟁보험
6. 운임보험
7. 선박불가동손실보험(Loss of Earning /or Charter Hire Insurance)
보험대위는 보험자가 보험금을 지급한 경우에 보험계약자ㆍ피보험자가 보험목적이나, 제3자에 대하여 가진 권리를 당연히 취득하도록 하는 것을 말한다.
추정전손(constructive total loss): 담보하는 위험으로 인하여 선박이 손상되어 그 손상을 수리하는 비용이 수리 후의 선박가액을 초과할 것으로 판단되는 경우
적하보험 보험금액: 일반적으로 상업송장(Commercial Invoice) 가액에 10%의 희망이익(Expected Profit)을 가산한 금액을 기준으로 함.
일반적으로 ICC(FPA), ICC(WA)나 ICC(C), ICC(B)조건을 기본+부가위험 담보조건을 추가 -저렴한 보험료, 효과적인 보상
- 부가위험 담보조건
1. T.P.N.D(Theft, Pilferage & non-Delivery) : 도난, 발하 및 불착손 담보조건
2. J.W.O.B(Jettison & Washing Over-Board): 투하 및 유실손 담보조건
3. C.O.O.C (Contact with Oil and/or Other Cargo): 유류 및 / 또는 기타 화물과 접촉손 담보조건
4. R.F.W.D(Rain and/or Fresh Water Damage): 우담수손 담보조건
5. Leakage and/or Shortage : 누손 및/또는 부족손 담보조건
7. Breakage : 파손 담보조건
8. Hook & Hole : 구손 담보조건
9. Denting & Bending : 곡손 담보조건
10. Sweat & Heating : 응결수분 및 열손 담보조건
11. Contamination : 오염손 담보조건
12. Spontaneous Combustion : 자연발화손 담보조건
13. Mould & Mildew : 곰팡이손 담보조건
14. Rats & Vermin(해충) : 서충손 담보조건
15. Rust & Oxidation : 녹 및 산화손 담보조건
상법 - 해상보험 보험가액
당사자간에 보험가액을 정하지 아니한 때에는 사고발생시의 가액을 보험가액으로 한다.
당사자간에 보험가액을 정한 때에는 그 가액은 사고발생시의 가액으로 정한 것으로 추정한다.
선박의 보험에 있어서는 보험자의 책임이 개시될 때의 선박가액을 보험가액으로 한다.
적하의 보험에 있어서는 선적한 때와 곳의 적하의 가액과 선적 및 보험에 관한 비용을 보험가액으로 한다.
적하의 도착으로 인하여 얻을 이익 또는 보수의 보험에 있어서는 계약으로 보험가액을 정하지 아니한 때에는 보험금액을 보험가액으로 한 것으로 추정한다.
제700조(해상보험의 보험기간의 종료) 보험기간은 제699조제1항의 경우에는 도착항에서 하물 또는 저하를 양륙한 때에, 동조 제2항의 경우에는 양륙항 또는 도착지에서 하물을 인도한 때에 종료한다. 그러나 불가항력으로 인하지 아니하고 양륙이 지연된 때에는 그 양륙이 보통 종료될 때에 종료된 것으로 한다.
제703조의2(선박의 양도 등의 효과) 선박을 보험에 붙인 경우에 다음의 사유가 있을 때에는 보험계약은 종료한다. 그러나 보험자의 동의가 있는 때에는 그러하지 아니하다.
1. 선박을 양도할 때
2. 선박의 선급을 변경한 때
3. 선박을 새로운 관리로 옮긴 때
공동해손(General Average)의 성립요건 - York-Antwerp Rules
1) 공동해손이 성립하기 위해서는
- 공동의 희생손해나 비용손해는 이례적이어야 하며,
- 공동해손행위는 임의적이어야 하고
- 공동해손행위와 공동해손은 합리적이어야 하며,
- 위험은 현실적 이어야 하며,
- 위험은 항해단체 모두를 위협하는 것이어야 한다.
(2) 공동해손의 성립 요건
① 선박과 적화의 공동위험을 면하기 위한 것일 것
② 선박 또는 적화에 대하여 선장의 고의적인 처분일 것
③ 손해 또는 비용이 발생할 것
④ 선박 또는 적화가 잔존 할 것
1) 그의 대상이 공동의 항해단체를 구성하는 재산(선박, 적하, 운임) 이어야 한다.
2) 위험에 대하여 공동의 안전을 위한 것이라야 한다.
3) 고의적이고 합리적인 처분이라야 한다.
4) 통상의 처치가 아닌 이상의 희생 또는 비용에 의한 것이라야 한다.
5) 각종의 분담이익에 따라 부담 되는 것이라야 한다.
7. 공동해손의 적격범위
공동해손희생손해(general average sacrifice)
선체ㆍ장비ㆍ화물 등의 전부 또는 일부를 희생시킴으로써 발생하는 손실을 뜻한다.
- 적하의 투하 (Jettison of Cargo)
- 투하로 인한 손상
- 선박의 소화 작업
- 기계 및 기관손해
- 임의 좌초
- 하역작업 중 발생하는 손해
- 운임의 희생손해
공동해손비용손해(expenditure) - 비용
- 구조비
- 피난항비용
- 임시 수리비
- 자금조달비용
- 손해방지비용
공동해손 정산
- 공동해손배상액과 공동해손분담가액을 산정
- 공동해손배상액의 총액을 공동해손분담가액의 총액으로 나누어 공동해손분담률을 산출.
공동해손분담률 = 공동해손배상액의 총액 ÷ 공동해손분담가액의 총액
- 이 분담률을 각각의 공동해손분담가액에 곱하면
각 당사자들이 분담해야 할 공동해손분담금(general average contribution)이 결정된다.
잔존선가 200억, 잔존적하 140억, 운임 40억, 공동해손액 40억인 경우 분담율 = 40/380 = 0.1052
상법 – 공동해손 분담가액
1. 선박의 가액은 도달의 때와 곳의 가액
2. 적하의 가액은 양륙의 때와 곳의 가액, 다만, 적하에 관하여는 그 손실로 인하여 지급을 면하게 된 모든 비용을 공제하여야 한다.
3. 선박이 도달하거나 적하를 인도한 때에 현존하는 가액의 한도에서 책임을 진다.
순가액에 공동해손배상액이 포함되어 있지 않으면 이를 가산한다.(공동해손에 의해 배상되어야 할 금액이 있으면 순가액에 가산한다.)
- 항만운송사업
1. 항만하역사업
2. 검수사업, 감정사업, 검량사업
- 항만운송관련사업
1. 항만용역업 (통선업, 급수업, 줄잡이업, 청소업)
2. 선박연료공급업
3. 선박수리업 및 컨테이너수리업
4. 선용품공급업
- 선박안전법상 항해구역의 종류
평수구역, 연해구역, 근해구역, 원양구역
- 선박안전법령상 선박검사증서의 유효기간: 5년
위험물 운송 규칙: SOLAS 제7장
국제해상위험물규칙 IMDG(International Maritime Dangerous Goods): 포장형태 위험물
국제해상산적고체화물규칙 IMSBC(International Maritime Solid Bulk Cargoes): 산적상태 고체화물
위험화학품 산적운송 선박의 구조 및 설비를 위한 국제규칙 IBC(Bulk): 산적액체화학물
국제산적액화가스운송선박의 구조 및 설비에 관한 규칙 IGC(Gases): 산적액화가스
포장형태의 방사성 폐기물 운송에 관한 국제규칙 INF(irradiated nuclear fuel): 사용 후 핵연료
- 국제해사기구의 IMDG 코드상 위험물의 분류
제1급(Class 1): 화약류(Explosives)
제2급(Class 2): 가스류(Gases)
제3급(Class 3): 인화성 액체류(Flamable Liquids)
제4급(Class 4): 가연성 고체류(Flammable solids and other flammable substances)
제5급(Class 5): 산화성 물질 및 유기과산화물
(Oxidising substances and organs perodixes)
제6급(Class 6): 독물 및 전염성 물질(Toxic and infectious substances)
제7급(Class 7): 방사성 물질(Radioactive material)
제8급(Class 8): 부식성 물질(Corrosive substances)
제9급(Class 9): 기타 위험물질(Miscellaneous dangerous substances and articles)
위험물 적재
선박의 구분(제1급 제외)
화물선(일반 여객선): 화물선 또는 승객25명과 선박전장(全⾧) 3미터당 1명으로 환산한 승객수를 비교하여 더 많은 쪽의 승객수 이하로 제한된 승객을 운송하는 여객선
기타여객선: 상기의 제한된 승객수를 초과하는 승객을 운송하는 기타여객선
적재방법(제1급 제외)

화물 고박법
Shoring(쇼링): 목재, 철재, 벨트를 이용하여 컨테이너 내 물품을 움직이지 못하도록 고정하는 것.
Lashing(라싱): 로프, 와이어, 쇠사슬 등 활용하여 선적된 컨테이너와 화물을 고정시키는 것을 말함
Chocking (쵸킹): 물품과 물품 사이 혹은 물품과 컨테이너 벽 사이의 빈 공간에 각재, 에어백 등 보강물로 틈을 매워 화물의 움직임을 방지하는 작업
Flat Rack 컨테이너에 적재한 물건을 Shoring 혹은 Lashing 작업한 후, 추가 보강물로 고정하고 안정시키는 것을 쵸킹이라함
나용선 계약, 선체용선 계약(Demise Charter, Bareboat Charter): 기간을 단위로 항해 준비 없는 선박만 대여
정기용선 계약(Time Charter): 기간을 단위로 항해 준비된 선박(선원, 장비) 대여 - 연료비등은 용선자 부담
항해용선 계약(Voyage charter, Trip charter): 선적지에서 목적지까지의 항해를 단위로 계약
선복운임용선 계약(lump sum charter): 실제 적재 수량과 관계없이 A항에서 B항까지의 계약 선복(계약 톤수)에 의한 계약
L/C: Letter of Credit 신용장(매매계약 후 운송 계약 전 개설)
화물 선적절차
shipping request -> booking for shipping -> shipping order -> mate's receipt -> bill of lading
해상운송 관련 서류
선적항
S/R : Shipping Request 선적 요청서(선복 신청서)
Shipping Receipt 적하 영수증, 내륙 운송업자가 송하인에게 주는 영수증
적화예약 목록(booking list): 선박회사 -> 본선/하역업자, 선복예약서(booking note) 선사 -> 화주
S/O : Shipping Order 선적지시서, 선박회사 -> 1항사
검수 일람표(tally sheet): 하역 작업 시 검수회사가 화물량 검사 기록
검수, 검량 증명서(certificate of measurement and weight): 화물의 용적, 중량 계측(운임 및 적화계획 수립 자료)
M/R : Mate’s receipt, 본선 수취증, 본선 -> 송하인, 하역업자
B/L : Bill of Lading 선하증권 (Original B/L 원본, Surrender B/L 카피본)
L/I : Letter of Indemnity 파손화물보상장, 면책증서
화물 적부도(cargo stowage plan)
적부 감정서(stowage survey report): 선적 후 본선이 화물적부에 최선을 다했다는 검사증서
M/F : Manifest 적하목록(선적 완료 후 선하증권 사본을 기초로 작성)
양하항
L/G : Letter of Guarantee 화물 선취 보증서(선적서류보다 화물 먼저 도착 시)
D/O : Delivery Order 인도 지시서
B/N: Boat Note, 화물인수증(화물수취증)
D/R : Dock Receipt 부두 수취증
해난 보고서(sea protest)
창구 검사서(hatch survey report)
손상화물 감정서(damaged cargo survey report)
화물과부족 조사서(tracer)
명세서, 계산서, 대금청구서를 겸한 선적서류로 상거래에 쓰이는 서류를 상업송장이라 한다.
선사가 화물주로부터 구두 또는 문서로 선적요청서에 대하여 선복예약이 이루어졌을 때 작성하는 서류를 선복 예약서(Booking Note)라고 한다. 선사 -> 화주
선적 절차가 모두 완료되면 수출업자는 수입업자에게 지체 없이 선적이 완료 되었다는 선적통지(Shipping Notice)를 하여야 한다. 이때에는 선적이 완료되었다는 증표로 선하증권 사본(B/L Copy)을 보내는 것이 일반적이다.
증권에 기재된 조건에 따라 운송하며 지정된 양륙항에서 증권의 정당한 소지인에게 그 화물을 인도할 것을 약정하는 유가증권을 선하증권이라고 한다.
화물인수증(화물수취증): 본선에서 화물을 양하하기 전 본선의 적하목록과 대조하여 화물의 이상 유무에 대해 발행하는 명세서, 선적화물을 양륙할 때 본선 측과 수화인 혹은 양륙 하역업자 간에 화물수도의 증거로써 검수원이 tally sheet에 의거하여 작성하고 본선 책임자와 수하인 측이 동시에 서명한다.
선하증권
선적 선하증권(Shipped or On Board B/L): “Shipped” 또는 “Shipped on Board” 문구 표시, 화물 선적 후 발행.
증권의 표기 내용에 따라
- 보통 선하증권(Long Form B/L): 모든 필요기재 사항이 표기된 선하증권
- 약식(간이) 선하증권(Short Form B/L): 보통 선하증권의 이면약관 생략
화물의 하자상태의 기재유무에 따른 분류
- 무유보 선하증권(Clean B/L): 선하증권상에 화물 또는 포장의 하자상태(defective condition)의 기재가 없는 B/L을 말한다. 따라서 선하증권에 별도로 “Clean B/L"이라는 문구가 없더라도 위와 같은 유보문구가 없다면 이미 Clean B/L이다.
L/I (letter of indemnity)는 파손화물보상장으로서 수출화물에 포장이상 또는 약간의 파손이 있을 경우, 선사는 이러한 내용을 B/L에 기재하게 됩니다.
이러한 B/L은 Foul B/L 또는 Dirty B/L이라 하여 고장부 선하증권이 되어 은행들이 인수를 거절하고 수화인도 인수를 거절할 수 있습니다.
따라서 송화인(Shipper)은 무하자 B/L, 즉 Clean B/L을 발급받기 위해 LOI를 발급하여 선사에 제출하는데, 이렇게 Clean B/L로 발급하는데 따른 어떠한 책임도 송화인이 지겠다는 각서가 LOI입니다.
- 유보 선하증권(瑕疵 ㆍ 고장부 선하증권, Foul B/L or Dirty B/L) : 화물, 포장 기타 상태에 불완전한 점이 있어서 그 내용(예, Leaking, Tort, Dented, Scratch, Rusted... 등)이 기재된 선하증권을 말한다.
Foul B/L(Dirty B/L) is the B/L bearing the clause or notation expressly declaring a defective condition of the goods or their packaging.
운송책임구간에 의한 분류
- 해양선하증권(Ocean B/L): 운송인이 선박에 의한 해상운송구간(sea port ⇔ sea port)만의 운송을 인수한 경우, 이를 커버하는 선하증권
- 통선하증권(Through transport B/L): 하나의 운송계약화물이 수령지에서 목적지까지 운송되는 동안, 운송을 인수한 운송인이 그의 책임으로 동종(同種) 또는 이종(異種)의 운송수단(예, A선박 +기차)을 연계하여 운송을 완성하는 경우에 발행되는 선하증권을 말한다.
- 복합운송선하증권(Multimodal or Combined Transport B/L): 화물의 수령지에서 인도지까지의 운송을 단일 운송인의 책임으로, 단일운임으로, 두 가지 이상의 이종운송수단(예, 선박 + 기차 또는 자동차)을 결합하여 복합운송계약을 완료시킬 것을 증명하는 선하증권을 말한다.
- 내국선하증권(Local B/L or Domestic B/L): 화물의 운송구간 (선적항 및 양륙항)이 동일 국가 내인 경우에 발행되는 선하증권을 말한다.
본선 적재 여부에 따라
선박에 적재를 하고 발행하느냐 그 전에 발행하느냐에 따라 두 종류로 나눌 수 있습니다.
- 선적 선하증권(On Board B/L): 운송인이 화물을 선적한 뒤 발행하는 서류입니다. 선적증명서류
On Board B/L(shipped B/L) is the B/L issued after the goods have been loaded on board the ship and it must state that the goods are on board a named ship and state the date of shipment.
- 수취식선하증권(Received B/L): 선박이 지정되었고 창고나 CY 등에 입고되었을 때 운송인이 화물을 수령했음을 나타내는 서류입니다. 일반적으로 선적증명 불가, 신용장에서 수리하지 않음.
수하인을 기재하는 방식에 따라
화물을 받는 사람을 정확히 명시하느냐 아니냐에 따라 세 가지로 나누어집니다.
-기명식 선하증권(Straight B/L): 수하인 항목에 수하인의 주소와 상호 등의 정확한 정보가 기재되어 있어 정해진 수하인만이 화물을 인도할 수 있습니다.
Straight B/L is the B/L which stipulates that the goods are to be delivered only to
the named consignee.
-지시식 선하증권(Order B/L):“to order”이라는 문구가 들어있으며 특정 수하인이 적혀있지 않습니다. 그래서 권리의 양도가 가능한 B/L입니다.
Order B/L is the B/L in which the goods are consigned to the order of a named party.
Full set of clean on board ocean bill of lading made out to the order of Daehan bank marked “freight prepaid” and “notify accountee”
-소지인식 선하증권(Bearer B/L): 누구든 B/L을 소유하고 있는 자에게 화물을 인도할 수 있도록 한다는 내용이 담겨있습니다.
적색 선하증권(Red B/L): 보통의 선하증권과 보험증권을 결합시킨 것.
수입화물선취보증서(L/G, Letter of Guarantee): 물품은 이미 도착했는데 B/L이 도착하지 않은 경우에는 은행으로부터 수입화물선취보증서를 발급받아 선사에 제출하고 물품을 인수합니다. 추후에 비엘이 도착하면 선사에 제출하고 L/G를 반납 받아 은행에 반환합니다.
Hague Rules(헤이그 룰): 1924년 ‘선하증권에 관한 일부규칙의 통일을 위한 국제조약’
Hague-Visby Rules(비스비 룰): 1968년 개정의정서
Hamburg Rules(함부르크룰): 해상물품운송에 관한 국제연합조약(1978년)
개발도상국(하주)의 이익에 대한 배려가 미약한 헤이그 룰을 대신한 새로운 조약
해상인명안전협약(SOLAS 1974)
1. 구조-구획과 복원성, 기관과 전기설비
2. 화재 예방, 화재탐지와 소화
3. 구명설비
4. 무선통신
5. 항해안전
6. 화물운반
7. 위험물의 운반
8. 핵추진선박
9. 선박의 안전관리
10. 고속선에 관한 안전조치
11. 해상안전증진을 위한 특별조치
12. 산적화물선에 대한 추가적 안전조치
* 국제해상충돌예방규칙(COLREG, International Regulations for Preventing Collisions at Sea): 해상에서 선박의 충돌 방지
- 해양오염방지협약(MARPOL 73/78)
- 해양유류오염대비 대응 및 협력에 관한 협약(OPRC) - 해양환경관리법(수용한 국내법)
(Oil Pollution Preparedness, Response and Cooperation)
: 유류오염사고 발생 시 신속하고 효과적인 방제조치를 위한 대응ㆍ대비에 관한 제반사항을 규정, 1990년 채택되었으며, 우리나라에는 2000년부터 적용되고 있다.
유류오염피해 기초환경조사: 유류유출사고와 오염손해의 연관성 입증
관능검사: 직접 냄새를 맡거나 맛을 보는 방법으로 확인하는 검사
- 상법 책임한도액(상법 제770조 제1항 제3호)
| 톤 수 | 책임한도액(SDR) |
| 300t 미만 | 83,000 |
| 500t 미만 | 167,000 |
| 500t ~ 30,000t 미만 | 이전금액 +(초과톤당 X 167) |
| 30,000 ~ 70,000t 미만 | 이전금액 +(초과톤당 X 125) |
| 70,000t 이상 | 이전금액 +(초과톤당 X 83) |
1,000t 기준 책임한도액: 167,000 + (500 x 167) = 250,500
- 책임협약(1992 CLC):
+ 유류오염손해배상보장법: 유류오염손해가 발생한 경우에 선박소유자의 책임을 명확히 하고 유류오염손해의 배상을 보장하는 제도(2003.11월 발효)
대상선박 : 유조선 및 유조부선
대상화물 : 원유, 연료유 등 지속성 탄화수소 광물성유
5천톤 이하 선박 : 451만 계산단위까지
5천톤 초과 선박 : 451만 계산단위 + 초과 톤 × 631 계산단위(최대 8,977만 계산단위)
7000톤 유조선의 책임한도 = 4,510,000 + (2000 x 631) = 5,772,000
유류오염손해배상보장법상 보장계약 증명서를 발급받은 자는 그 보장계약 증명서의 기재사항이 변경된 경우에는 변경된 날부터 15일 이내에 그 변경사항을 해양수산부장관에게 신고하여야 한다.
- 국제기금협약(1992 FC):
민사책임협약(CLC)에 따라 유조선 선박소유자의 손해배상책임이 발생하지 않는 경우에도 보상한다.
분담금의 납부의무자는 연간 15만톤 이상의 분담유 총량 수령인이다.
- 선박연료유협약(2001 Bunker Convention): 유조선 이외의 일반선박에 의한 유류오염 피해보상을 위한 책임보험을 의무화하는 연료유 협약
- 국제유류오염보상기금(International Oil Pollution Compensation Funds): 국제기금협약, 추가기금 통합
기름의 특성
유동점(pour point): 흐름 상태를 유지할 수 있는 최저온도
발화점(ignition point): 가연성물질이나 혼합물이 연소를 개시하는데 필요한 최저온도
점성(viscosity): 유체의 흐름에 대해 저항하는 힘
비중(specific gravity): 물의 밀도와 기름의 밀도와의 비
중질유는 거의 용해되지 않으며, 경질유 성분, 특히 벤젠, 톨루엔 등 방향족 탄화수소류는 일부 해수에 용해됨. 경질유 오염피해가 중질유보다 클 수 있다.
유회수기: 물 위에 뜬 기름을 물리적인 방법으로 회수하는 기계
위어(weir)식 유회수기: 기름과 물의 경계면에 설치하여 비중 차에 의해 수면에 뜬 기름을 회수
방제작업
1. 오일펜스 설치
2. 유흡착제 사용
3. 유처리제 살포
4. 물로 씻어내기(hydraulic cleaning) 와 모래분사 (sand blasting)
유처리제 양 계산
Q(유처리제의 양) = 30.87 × V × L × E × C
V: 선속(kt), L: 살포붐 폭(m), E: 평균 유막 두께(mm), C: 기름 1리터 당 유처리제 양(ℓ)
유처리제(용제, 계면활성제, 첨가제 등으로 구성)는 해수와 유막간의 표면장력을 감소시켜 기름을 미립자화하여 해수와 섞이기 쉬운 상태로 만듦으로써 자정작용을 촉진시키는 역할을 한다.
오일 붐(oil boom) 구성요소: 밸러스트, 부력재, 스커드
붐 하단 면적 A(m2), 유속 V(m/s), 힘 F(kg)
F = 100 x A x V2
![]() |
스커드: 오일 붐 아래 기름이동 방지 밸러스트: 스커드를 수직 상태로 유지 부력재(float): 오일붐을 수면에 뜨게 하는 역할 유속 0.25 m/s, 스커드 깊이 0.6m, 길이 100m F = 100 x (0.6 x 100) x (0.25)2 = 375 kg * 유속 = 풍속/40 풍속 4m/s, 면적 30 m2 F = 100 x 30 x (4/40)2 = 30 kg |
유류 풍화작용
![]() |
확산(Spreading), 증발(Evaporation), 분산(Dispersion), 에멀젼화(유화)(Emulsification), 용해(Dissolution), 광산화(Photooxidation), 퇴적과 침강, 생물분해(Biodegradation) |
환경 민감도지수(ESI: Environmental Sensitivity Index)
ESI 1: 노출된 바위 암초
ESI 2: 파도, 침식에 의한 플랫폼
ESI 3: 가는 모래 해변
(기름의 지속시간이 낮고 저질 속으로 침투하지 않으며 수작업과 기계적 회수가 용이함)
ESI 4: 거친 모래 해변
(기름이 모래에 침투하여 방제작업이 어렵고 기름 지속시간이 중간 수개월 후면 자연 정화됨)
ESI 5: 모래와 자갈이 혼합된 해안(기름이 깊게 침투하여 제거가 어렵고, 수년이 걸림)
ESI 6: 침투성이 좋은 자갈, 바위 해안
(기름이 깊게 침투하여 제거가 어렵고, 수년 안에는 기름이 제거되지 않음)
ESI 7: 노출된 조간대 해안(기름이 표착되거나 침투하지 않으며 자정작용이 빠름)
ESI 8: 차폐된 암반 해안
(낮은 파고 에너지로 기름의 지속시간이 길고 풍화하며 생물학적 민감도는 중, 저위로 예상됨)
ESI 9: 차폐된 간조대
(저파고 에너지 영향으로 기름의 지속시간이 길고 저질 속으로 침투하며 풍화가 느림)
ESI 10: 염습지와 해변 홍수림(저파고 에너지로 기름의 지속시간이 길고 저질 속으로 침투하여 풍화가 느림, 생물학적 민감도는 높을 것으로 예상됨)
API도
미국석유협회(American Petroleum Institute)에서 정한 비중으로 물을 10으로 하여 물보다 가벼운 것은 10 이상, 물보다 무거운 것은 10 이하의 수치로 표시한다.

유막색조법
색조 기름유형 두께 근사치 부피 근사치
은빛 유막 >0.0001mm 0.1 m3/km2
무지개빛 유막 >0.0003mm 0.3 m3/km2
갈색~검정색 원유, 연료유 >0.1mm 100 m3/km2
갈색/주황색 에멀전 >1mm 1000 m3/km2
* 면적 1km2, 0.1mm 흑갈색 유막 20%, 0.003mm 무지개빛 유막 80% 유출량m3 ?
(0.2 x 100) + (0.8 x 3) = 22.4m3
면허어업 종류(7개) : 정치망어업, 해조류양식어업, 패류양식어업, 어류등양식어업, 복합양식어업, 협동양식어업, 마을어업
허가어업: 원양어업허가, 근해어업허가, 연안어업허가, 구획어업허가, 해상종묘생산어업허가
수산업법
어업권의 등록은 등기를 갈음한다.
선원법
선원: 선박에서 근로를 제공하기 위하여 고용된 사람을 말한다.
선장: 해원(海員)을 지휘ㆍ감독하며 선박의 운항관리에 관하여 책임을 지는 선원
해원: 선박에서 근무하는 선장이 아닌 선원을 말한다.
직원: 항해사, 기관장, 기관사, 전자기관사, 통신장, 통신사, 운항장 및 운항사 등의 해원을 말한다.
부원: 직원이 아닌 해원을 말한다.
예비원: 선박에서 근무하는 선원으로서 현재 승무(乘務) 중이 아닌 선원을 말한다.
안벽능력산정
순 접안시간은 선박에서 최초로 하역되는 컨테이너의 Lashing이 풀리는 순간부터 마지막으로 선적되는 컨테이너의 Lashing작업이 완료되는 순간까지의 시간이다.
선반의 구조

주축대(Head stock)
왕복대(Carriage): 에이프런(apron) + 새들(saddle)
심압대(Tail stock)
크랭크축 구성 요소

실린더 라이너 – 주철
선박의 감항성(내항성)
보험증명서: insurance certificate
보험증권: Insurance Policy
Incoterms(International Commercial Terms)
11가지 개별 정형거래 유형(송하인[판매자] 기준)
- 해상운송(선박) 최적화
1. FAS(Free Alongside Ship): 선측(부두/바지)인도
2. FOB(Free On Board): 본선 인도, 수출자가 자신의 비용으로 본선에 선적(선박의 난간 통과)하는 것까지의 역할, 수출자가 수출국 내에서의 비용/위험만 부담
3. CFR(Cost and Freight): FOB + freight(해상운송비용)
4. CIF(Cost Insurance and Freight): 운임 보험료 포함 인도(위험 주체는 FOB 그대로)
-> FOB + freight(해상운송비용) + Insurance premium(보험 비용-최소 담보 (ICC/C))
“Free Alongside Ship” means that the seller delivers the goods to the buyer when the goods are placed alongside the ship (e.g. on a quay or a barge) nominated by the buyer at the named port of shipment or when the seller procures goods already so delivered. The risk of loss of or damage to the goods transfers when the goods are alongside the ship, and the buyer bears all costs from that moment onwards.
FOB(본선인도)Free On Board
Mode of transport-This rule is to be used only for sea or inland waterway transport where the parties intend to delivery the goods by placing the goods on board a vessel. Thus, the FOB rule is not appropriate where goods are handed over to the carrier before they are on board the vessel, for example where goods are handed over to a carrier at a container terminal. Where this is the case, parties should consider using the FCA rule rather than the FOB rule.
“Cost and Freight” means that the seller delivers the goods to the buyer on board the vessel or procures the goods already so delivered The risk of loss of or damage to the goods transfers when the goods are on board the vessel, such that the seller is taken to have performed its obligation to deliver the goods whether or not the goods actually arrive at their destination in sound condition, in the stated quantity or indeed, at all. In CFR, the seller owes no obligation to the buyer to purchase insurance cover:the buyer would be well-advised therefore to purchase some cover for itself.
CIF (운임·보험료포함인도) Cost Insurance and Freight
1. Insurance-The seller must also contract for insurance cover against the buyer’s risk of loss of or damage to the goods from the port of shipment to at least the port of destination. This may caused difficulty where the destination country requires insurance cover to be purchased locally:in this case the parties should consider selling and buying under CFR. The buyer should also note that under the CIF IncotermsⓇ 2020 rule the seller is required to obtain limited insurance cover complying with Institute Cargo Clauses (C) or similar clause, rather than with the more extensive cover under Institute Cargo Clauses (A). It is, however, still open to the parties to agree on a higher level of cover.
- 모든 운송방식 적용
1. EXW(EX WORKS): 공장인도 - 송하인 최소 의무 <-> DDP(관세지급인도) 송하인 최대의무
2. FCA(Free Carrier): 책임과 의무구간이 지정된 운송업체에 인계(CY입고)로 종료됨.
3. CPT(Carriage paid to): 운송비지급인도
4. CIP: FOB + freight(해상운송비용) + Insurance premium(보험 비용-최대 담보 (ICC/A))
5. DAP(Delivered At Place): 목적지 인도조건, 판매자가 합의된 장소까지 운송(각종 세금은 구매자 부담), 복합운송에 주로 사용
6. DPU(Delivered At place Unloaded): 도착지양하인도, DAP + UNLOADING
7. DDP(Delivered Duty Paid): 관세지급인도
“Ex Works” means that the seller delivers the goods to the buyer when it places the goods at the disposal of the buyer at a named place (like a factory or warehouse), and that named place may or may not be the seller’s premises. for delivery to occur, the seller does not need to load the goods on any collecting vehicle, nor does it need to clear the goods for export, where such clearance is applicable.
“Free Carrier (named place)” means that the seller delivers the goods to the buyer in one or other of two ways.
(1) First, when the named place is the seller’s premises, the goods are delivered when they are loaded on the means of transport arranged by the buyer.
(2) Second, when the named place is another place, the goods are delivered when, having been loaded on the seller’s means of transport, they reach the named other place and are ready for unloading from that seller’s means of transport and at the disposal of the carrier or of another person nominated by the buyer.
“Carriage Paid To” means that the seller delivers the goods-and transfers the risk-to the buyer by handing them over to the carrier contracted by the seller or by procuring the goods so delivered. the seller may do so by giving the carrier physical possession of the goods in the manner and at the place appropriate to the means of transport used.
CIP(운송비 보험료지급인도) Carriagr and insurance Paid To
1. Insurance-The seller must also contract for insurance cover against the buyer’s risk of loss of or damage to the goods from the point of delivery to at least the point of destination. This may cause difficulty where the destination country requires insurance cover to be purchased locally:in this case the parties should consider selling and buying under CPT.
“Delivered at Place”means that the seller delivers the goods-and transfers risk-to the buyer when the goods are placed at the disposal of the buyer on the arriving means of transport ready for unloading at the named place of destination or at the agreed point within that place, if any such point is agreed. the seller bears all risk involved in bringing the goods to the named place of destination or to the agreed point within that place.
DPU is the only incoterms rule that requires the seller to unload goods at destination. The seller should therefore ensure that it is in a position to organise unloading at the named place. Should the parties intend the seller not to bear the risk and cost of unloading, the DPU rule should be avoided and DAP should be used instead.
"Free Alongside Ship" means that the seller delivers when the goods are placed alongside the vessel(e.g., on a quay or a barge) nominated by the buyer at the named port of shipment.
"Free On Board" means that the seller delivers the goods on board the vessel nominated by the buyer at the named port of shipment or procures the goods already so delivered.
"Delivered at Terminal" means that the seller delivers when the goods, once unloaded from the arriving means of transport, are placed at the disposal of the buyer at a named terminal at the named port or place of destination.
“Delivered Duty Paid” means that the seller delivers the goods to the buyer when the goods are placed at the disposal of the buyer, cleared for import, on the arriving means of transport, ready for unloading,
Incoterms 2010의 물품 선적 의무에 대한 대안으로써 '연속매매'(string sales): 이미 선적된 물품에 대한 재판매시 선적 없이 조달로서 계약이 이행된다.
Different levels of insurance cover in CIF and CIP
CIF 와 CIP 간 부보수준의 차별화
CIF: ICC(C)
CIP: ICC(A) - 2020 변경사항
In the first, which is much more likely to be used in the maritime commodity trades, the status quo has been retained, with Institute Cargo Clauses (C) as the default position, although it is, of course, open to the parties to agree to higher cover. In the second, namely the CIP rule, the seller must now obtain insurance cover complying with Institute Cargo Clauses (A), although it is, of course, again open to the parties to agree on a lower level of cover.
전자 즉, CIF 규칙은 일차산품의 해상무역에서 사용될 가능성이 매우 높으므로 CIF 규칙에서는 현상유지 즉 협회적하약관 C –약관의 원칙을 계속 유지하되 다만 당사자들이 보다 높은 수준의 부보를 하기로 달리 합의할 수 있도록 길을 열어 두었다. 후자 즉 CIP 규칙의 경우에 이제 매도인은 협회적하약관의 A-약관에 따른 부보를 취득하여야 한다. 물론 또한 당사자들은 원한다면 보다 낮은 수준의 부보를 하기로 합의할 수 있다.
하역비 부담 및 책임(선주 기준)
BERTH TERM(LINER TERM): 선주가 선적, 양하 작업비를 부담.
FILO(FIBT) : FREE IN LINER OUT(BERTH TERM) . 선적은 화주, 하역은 선주가 부담.
BTFO (LIFO) : BERTH TERM(LINER IN) FREE OUT. 선적은 선주, 하역은 화주가 비용 부담.
FIO : FREE IN AND OUT. 화주가 화물 선적, 하역에 드는 비용을 모두 지불.
FIOS : FREE IN AND OUT AND STOWED 본선내의 적부비용 추가
FIOST: Free In & Out, Stowed & Trimmed 화물 정리비용 추가
선적화물 검량 규정상의 서류보관 기한: 2년
- 상업송장: commercial invoice
- 공용송장: official invoice
1. 세관송장(custom invoice): 선적서류의 하나로, 수입국의 세관이 확인하는 송장을 말한다.
2. 영사송장(consular invoice): 선적서류의 하나로, 수출국에 소재하는 자국의 영사로부터 확인을 받은 송장이다.(불법 방지)
barratry(고의적 손실): an illegal or fraudulent act committed by the master or crew to the prejudice of the owner or charterer. 선원의 악행(barratry of master or mariners)
container freight station(CFS): 화주의 의뢰를 받은 물류사가 화물을 컨테이너에 적입 혹은 적출, 분류작업을 진행하는 장소(a depot where parcels of cargo are grouped and packed into containers)
CY(Container Yard): 컨테이너를 보관, 반출입 하는 장소. 수출의 경우, 작업이 완료된 컨테이너를 CY로 반입시키고, 이 곳에서 선박으로 옮겨 선적이 진행됨.
DEMURRAGE: 기간 안에 하역이 이루어지지 않으면 발생, 체선료 또는 풀 컨테이너를 선사 CY 안에서 선사가 허용한 보관일수(FREE TIME)보다 초과하여 보관 된 경우, 그 추가 보관일 수만큼 선사에서 청구하는 비용, 초과비용
Despatch Money: 조출료, 기간 단축 환불금, 선사가 화주에게 지급
Dead Freight: 선복예약수량보다 화물 실적재량이 적을 때 부족분에 대해 지급되는 운임.
LASH: a system for carrying loaded barges or lighters on ocean voyages
화물을 적재한 부선(전용 바지선)을 본선에 설치된 기중기(crane)로 선상에 올려놓을 수 있는 구조를 가진 선박을 말함
중량톤(Weight Ton)
Metric Ton (국제단위 SI System 으로 표현) = 1000 kg
Short Ton (미국단위로 측정된 무게) = 2000 lb(파운드) = 907 kg
Long Ton (영국단위로 측정된 무게) = 2240 lb(파운드) = 1016 kg
반올림 kg: 0.5보다 크거나 같으면 반올림, 파운드: 1파운드보다 작으면 올림
조악화물(rough cargo): 오염(汚染), 흡습(吸濕), 융해(融解) 또는 분말(粉末)이나 악취(惡臭)를 발산하여 다른 화물도 오손(汚損)시킬 우려가 있는 화물. 더러운 화물(dirty cargo), 먼지나는 화물(dusty cargo), 냄새나는 화물(smelled cargo) 등, 생피혁, 어분(魚粉), 시멘트, 염장어획물, 흑연 등.
부정기선(tramper, Tramp Steamer): 선복(船腹)의 수요가 있을 때마다 또는 화주가 요구하는 시기와 항로에 따라 화물을 운송하는 선박. 화주는 부정기선업자와 용선계약(charter)을 체결함. 보통 혼재화물이나 벌크화물을 운송, 부정기선의 일종인 특수 전용선은 특수화물의 운송.
A tramper may be defined as a ship not engaged in a regular long distance maritime routes according to schedule, but taking on cargo as offered.
All the drums and similar items are measured for maximum length including hoop etc. But if the length of the materials which were installed for opening and closing purposes exceeds 1/4 of the circumference, it shall be added to the diameter.
검량의 최소용적
When the volume of a package is less than 0.001 cubic meter, it shall be 0.001 cubic meter. When the volume of a package is less than 1/12 cubic feet, it shall be 1/12 cubic feet.
양묘기(WINDLASS): 투양묘시 쓰이는 기계
계선기(MOORING WINCH): 계선로프를 감는 기계
Capstan: Drum 축을 수직으로 설치한 간이식 MOORING WINCH
윈치(WINCH): 원통형의 드럼에 와이어 로프를 감아, 도르래를 이용해서 중량물을 들어올리거나 끌어당기는 기계
WWD(weather working day): 작업가능한 날만을 본선의 정박일로 계산
congestion surcharge(선혼할증료): 항구가 혼란하여 정박이 길어질 때 적재화물에 대하여 부과하는 할증료
피보험 이익(Insurable interest): 보험사고의 발생에 의하여 손해를 입을 우려가 있는 이익
Insurable interest is the economic relationship between a person and the subject-mater insured. Insurable interest exists when an insured person derives a financial or other kind of benefit from the continuous existence of the insured object.
Break Bulk: 포장된 화물(Wooden box, Skid)과 포장하지는 않았으나 화물 자체가 포장된 것과 다름이 없는 형태의 화물
'기타' 카테고리의 다른 글
| 구글 AI 스튜디오에서 나노바나나를 사용하여 KF-21 보라매의 스케치 드로잉을 만들어 보았습니다 (0) | 2025.09.22 |
|---|---|
| 심플 LED 전광판 프로그램(PC, 스마트폰, 패드) (0) | 2023.10.25 |
















